À quelle vitesse un cri meurt-il dans un gaz de phonons tristes ?


Si l'on pousse un cri dans un superfluide, comment va-t-il s'amortir ? Dans un système isolé, l'amortissement du son résulte d'une non-linéarité acoustique c'est-à-dire de l'interaction entre les phonons dont l'onde est constituée. Le mécanisme mis en jeu dépend de la forme exacte de la relation de dispersion
reliant la pulsation ωq d'un phonon à son nombre d'onde q dans le superfluide. Même si elle est linéaire à faible q, ωq~ cqc est la vitesse du son, elle présente toujours une petite courbure dont le signe détermine la nature de l'amortissement.  Si q ↦ ωq est une fonction convexe, comme dans le cas d'école d'un condensat de Bose-Einstein, le son s'amortit via des processus d'interaction à trois phonons dits de Beliaev-Landau (voir la figure 1, panneau de droite). Si q ↦ ωq est concave (phonon triste) les processus à trois phonons sont interdits par la conservation de l'énergie-impulsion et l'amortissement est dû à des processus d'ordre supérieur identifiés par Landau et Khalatnikov en 1949 : il s'agit de processus à quatre phonons de la forme 2 phonons ⇆ 2 phonons, provenant de l'enchaînement cohérent de deux processus à trois phonons (voir la figure 1, panneau de gauche, qui montre l'un des 6 diagrammes possibles). Dans notre travail, nous avons rendu la théorie enfin quantitative en calculant explicitement le taux d'amortissement Γq des phonons tristes à basse température (voir la figure 2) dans le régime faiblement collisionnel ωqτ coll>>1 où τ coll est le temps de collision typique entre phonons thermiques.

L'amortissement à quatre phonons à la Landau-Khalatnikov n'a pas encore été observé expérimentalement. Il
pourrait l'être au Laboratoire Kastler Brossel, soit dans l'hélium 4 superfluide à haute pression, comme dans les expériences de l'équipe "Hélium polarisé, solides et fluides quantiques", soit dans un gaz de fermions de spin 1/2 en interaction attractive assez faible (pas de dimères) comme sait le produire l'équipe "Gaz de fermions froids".  Dans les deux cas, il existe un paramètre permettant d'ajuster en valeur et en signe la courbure de la relation de dispersion : il s'agit de la pression pour l'hélium et de la longueur de diffusion dans l'onde s pour les fermions. Nous espérons que les expériences pourront bientôt confirmer nos prédictions !

                                            figure


Fig.1 :
Le signe de la courbure de la relation de dispersion des phonons détermine leur processus d'amortissement, Beliaev-Landau ou Landau-Khalatnikov (voir texte). Dans un gaz de fermions de spin 1/2, la courbure peut être ajustée grâce à une résonance de Feshbach, en changeant la valeur de a donc de 1/kFa, où kF est le nombre d'onde de Fermi et a la longueur de diffusion dans l'onde s entre deux fermions de spin opposé. La superfluidité du gaz provient de la condensation de paires de Cooper d'atomes liés (tireté entourant deux fermions de spin opposé). Dans la limite de Bardeen-Cooper-Schrieffer (BCS) ces paires sont bien plus grandes que la distance moyenne entre atomes, et la relation de dispersion des phonons est concave. Dans la limite de condensation de Bose-Einstein (CBE) les paires sont des dimères fortement liés et la relation de dispersion est celle, convexe, de la théorie de Bogolioubov.
 

         figure                  figure

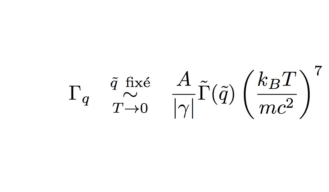
Fig.2 :
Nous prédisons que le taux d'amortissement Landau-Khalatnikov Γq d'un phonon dans un superfluide tend vers zéro comme la puissance septième de la température, voir l'expression sur la partie gauche de la figure, avec en préfacteur : (i) une constante A
fonction connue de l'équation d'état du système, (ii) au dénominateur le paramètre de courbure γ<0 de la relation de dispersion tel que ωq =cq[1+(γ/8)(q/mc)2+O(q4)], (iii) une fonction universelle de q = ℏcq/kB représentée sur la partie droite de la figure (après un changement de variable hyperbolique et une division par q 2). Ici m est la masse d'une particule et c la vitesse du son dans le superfluide.  Sur le graphe, les points avec une barre d'erreur résultent d'un calcul numérique.


Publication

"Landau-Khalatnikov phonon damping in strongly interacting Fermi gases", H. Kurkjian, Y. Castin, A. Sinatra, EPL 116, 40002, 28 décembre 2016.

Contact

Alice Sinatra,  alice.sinatra@lkb.ens.fr